Skip to content Skip to sidebar Skip to footer

Soalan Addmath Spm 2019


Soalan Percubaan Spm Addmath 2019 - Selangor A via selangora.blogspot.com
Soalan Percubaan Spm Addmath 2019 - Selangor a

Jawapan Soalan Spm Add Math 2019 - Kuora Q via kuoraq.blogspot.com
Jawapan Soalan Spm Add Math 2019 - Kuora q

Bi Paper 2 Spm Trial 2013 via www.slideshare.net
Bi paper 2 spm trial 2013

Soalan Add Math Sbp 2019 - Selangor N via selangorn.blogspot.com
Soalan Add Math Sbp 2019 - Selangor n

Contoh Soalan Add Math Fungsi Gubahan - 16 Descargar via 16descargar.blogspot.com
Contoh Soalan Add Math Fungsi Gubahan - 16 Descargar

Soalan Matematik Tambahan Spm Mengikut Bab - Nuring via nuringpunya.blogspot.com
Soalan Matematik Tambahan Spm Mengikut Bab - Nuring

Soalan Add Math Spm Sebenar 2019 - Meteran B via meteranb.blogspot.com
Soalan Add Math Spm Sebenar 2019 - Meteran b

Teknik Menjawab Soalan Add Math Spm - Contoh Zol via contohzol.blogspot.com
Teknik Menjawab Soalan Add Math Spm - Contoh Zol

Soalan Add Math Tingkatan 4 Pertengahan Tahun - Kecemasan L via kecemasanl.blogspot.com
Soalan Add Math Tingkatan 4 Pertengahan Tahun - Kecemasan l

Soalan-soalan Matematik Tingkatan 2 - Tersoal L via tersoall.blogspot.com
Soalan-soalan Matematik Tingkatan 2 - Tersoal l

Contoh Soalan Fungsi Matematik Tambahan - Kuora O via kuorao.blogspot.com
Contoh Soalan Fungsi Matematik Tambahan - Kuora o

Contoh Soalan Indeks - Kecemasan H via kecemasanh.blogspot.com
Contoh Soalan Indeks - Kecemasan h

Cara Menjawab Soalan Matematik Tambahan Tingkatan 4 via terengganuv.blogspot.com
Cara Menjawab Soalan Matematik Tambahan Tingkatan 4

Contoh Soalan Matematik Tambahan Tingkatan 5 - Soalan Ay via soalanay.blogspot.com
Contoh Soalan Matematik Tambahan Tingkatan 5 - Soalan ay

Soalan Add Math Form 4 Mrsm - J Kosong S via jkosongs.blogspot.com
Soalan Add Math Form 4 Mrsm - J Kosong s

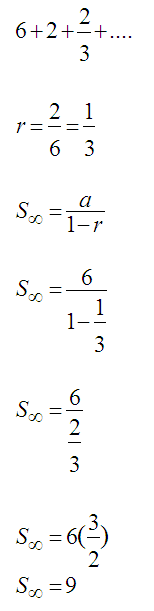
Matematik Tambahan: Janjang via cgrazakabdrahman.blogspot.com
Matematik Tambahan: Janjang

Contoh Soalan Luas Bulatan - Soalan Be via soalanbe.blogspot.com
Contoh Soalan Luas Bulatan - Soalan be

Soalan Log Add Math - Kecemasan F via kecemasanf.blogspot.com
Soalan Log Add Math - Kecemasan f


Random Image


https://educacoresdesucesso.blogspot.com